徠卡機器人全站儀助力三等水準測量
一、前言
目前高程測量方法一般分為幾何水準測量、GPS水準測量和三角高程測量三大類。采用傳統水準的方法測定點與點之間的高差,所得到的地面點高程精度較高,普遍用于建立國家高程控制點及測定高等級地形控制點的高程。對于地面高低起伏較大的地區,采用這種方法測定地面點的高程進程緩慢,有時甚至非常困難。

精密三角高程測量在丘陵地、山地、高山地區相比常規水準測量,因架站少、架站自由、靈活、快速,不需要量測儀器、棱鏡高,傳遞高程優勢顯著,能大大降低外業勞動強度,但受限于全站儀的硬件性能,此前一直未能在生產中實際應用;徠卡測量機器人的出現,打破了三角高程測量不能代替高精度水準測量的束縛,徠卡自動全站儀多測回自動觀測、自動識別限差,給野外測量帶來很大的便利,尤其夜間觀測成果更佳。
二、精密三角高程測量技術的可行性研究

作業流程:
檢測棱鏡互差,并檢核棱鏡的加裝是否符合要求,同時還要對全站儀進行組合檢校;
在起點布設棱鏡桿,在距離起點較近的一點(轉點1),布設主站;
主站在轉點1依次觀測棱鏡桿低棱鏡(①)和棱鏡桿高棱鏡(②);
主站不動,在轉點2架設輔站。依次進行如下觀測:后測站觀測低棱鏡(③)、前測站觀測低棱鏡(④)、前測站觀測高棱鏡(⑤)、后測站觀測高棱鏡(⑥);
主站換站至轉點3,輔站不動。依次進行如下觀測:后測站觀測低棱鏡(⑦)、前測站觀測低棱鏡(⑧)、前測站觀測高棱鏡(⑨)、后測站觀測高棱鏡(⑩);
輔站換站,依次循環進行高程的傳遞至接近末點處;
在最后的轉站,主站依次觀測末點高低棱鏡。
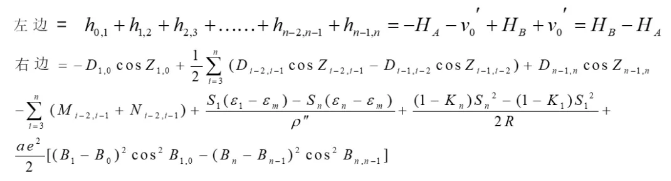
數據模型:

限差

三、項目驗證
為了驗證精密三角高程測量的精度, 內蒙古自治區測繪院使用徠卡TCRA1201全站儀、徠卡TS30全站儀及徠卡TS60全站儀等檢測了很多段用數字電子水準儀測得二等水準路線。其結果如表所示, 精密三角高程測量是完全可以達到二等水準測量的要求。

四、經驗積累、廣泛應用
自2010年5月以來,內蒙古自治區測繪院在呼和浩特、包頭、鄂爾多斯、巴彥淖爾市、烏蘭察布市、赤峰市已成功的使用徠卡自動全站儀精密三角高程測量代替二等水準測量1700多千米;在烏蘭察布市、呼倫貝爾市、興安盟、赤峰市等地方成功的使用徠卡自動全站儀精密三角高程測量代替三等水準測量4000多千米。

經過數年的研究,不同時間,不同區域,所測得的數據基本都能滿足國家二等水準測量規范的要求。徠卡自動全站儀搭配三角高程測量軟件、計算軟件和正確的測量方法,達到了目的和效果。同時我們也積累了諸多的外業經驗:
盡可能使用無伸縮腳架觀測,測段起、末水準點上,對中桿要放穩,保持高度不。
對向觀測時,如一站觀測時間過長,應重測對向觀測。
白天平均氣溫超過26℃時,在保障安全的作業前提下,最好在夜間作業,提前踏勘、選定觀測路線和測站點,更能顯著提高作業效率。
白天作業視線長度不宜超過800米,經過大量測量數據證明500米左右為最佳觀測距離。
白天作業時間遵照水準測量規范上的要求,由于在陽光直射和地面溫度較高,熱氣浪大時大氣折光影響較大。
自動照準觀測,視場內不能有遮擋物在棱鏡前。
視線不能通過煙火上空,觀測目標背后不能有大面積反光地物(蔬菜大棚),大面積水域。
在ATR自動照準時盡量避免陽光直射,由于正對太陽時,在自動照準光路中會有噪聲,從而影響自動照準的精度。

五、總結
傳統二、三等水準在山地、高山的測量中,需要耗費大量的人力、物力和財力,且效率極低。以傳統水準測量為例,在山地連測二、三等水準,單程連續觀測前后視距5-10米,一站一站連測,一個組一天連測3-5公里左右,依據財政部、國家測繪局2009 年頒布的《測繪生產成本費用定額》計算,100個水準點需要聯測1000千米。若對這些點進行二等水準觀測,100個水準點觀測的費用為207萬元,一個組5人需要400天完成。而同樣任務利用徠卡自動全站儀精密三角高程聯測二等水準,一個組一天聯測8-10公里左右,200天以內就可以完成1000千米的水準測量,節省大量的人力、物力。應用徠卡自動全站儀精密三角高程代替二、三等水準測量在困難地區聯測,可產生巨大的經濟效益。
徠卡自動全站儀精密三角高程測量具有傳遞高程靈活、方便、受地形條件限制較少等優點,徠卡測量機器人超高的測角測距精度,為精密三角高程測量提供了硬件保障,目前徠卡自動全站儀精密三角高程測量在大地測量、工程測量中得到了廣泛的應用。
更多相關
為什么RTK會比手持GPS測量精度高這么多?
RTK(Real-TimeKinematic)技術相較于傳統的手持GPS(GlobalPositioningSystem)測量,精度確實更高,主要原因有以下幾點:1.實時差分:RTK是通過接收...
測繪技藝多日苦練終有成,南方測繪杯拉開帷幕
西湖的雨、白堤的浪、錢塘的潮、蘇堤的柳、靈隱的禪、南屏的鐘……杭州,一座天堂般的城市!西湖,一個夢一般的所在!7月25日,在這仙境般的美麗華貴之城,在濃妝艷抹總相宜的西子湖畔,測繪地理信息人翹首以...
熱烈祝賀新《中華人民共和國測繪法》正式施行
2017年7月1日,是偉大的中國共產黨96歲生日,也是新修訂的《中華人民共和國測繪法》(以下簡稱《測繪法》)實施之日。《測繪法》是為了加強測繪管理,促進測繪事業發展,保障測繪事業為經濟建設、國防建...
北斗與GPS實現信號兼容,全球受益
近日,在中國衛星導航系統委員會王力主席和美國國務院喬納森·馬戈利斯助理副國務卿的見證下,中國衛星導航系統管理辦公室冉承其主任與美國國務院空間和先進技術辦公室戴維·特納副主任簽署了《北斗與GPS信號...
徠卡GeoMoS自動化監測系統在西安地鐵1號線的應用
一、背景 西安城市軌道交通線路已有7條地鐵(215公里)及1條機場城際鐵路,運營里程達到245公里,預計到2025年,形成12條線路運營、總長423公里的城市軌道交...
徠卡BLK360和徠卡BLK2GO——那些你不了解的事兒
近幾年,徠卡測量在實景掃描領域陸續推出小巧精妙的迷你激光掃描儀——徠卡BLK360,以及便攜高效的手持實景掃描儀——徠卡BLK2GO,兩款產品一經發布便在業內引起巨大轟動,并斬獲諸多獎項,給用戶帶...
西雅圖三維經典建模案例展示 ——HxMap三維單體建模軟件構建
徠卡HxMap是一款針對三維單體建模的軟件,支持全自動化構建三維單體模型并進行紋理貼面;同時也支持利用影像和激光數據,通過人工采集建筑物輪廓線,半自動化方式構建三維單體模型。軟件不僅支持徠卡傳感器...
中緯ZG30AI 視頻RTK 以舊換新
中緯ZG30RTK作為一款集卓越性能與智能應用于一體的高精度定位設備,正以其強大的技術實力和創新的服務模式——"以舊換新",為測繪工作者...











環球測繪微信